Bioluminescence in mushrooms.

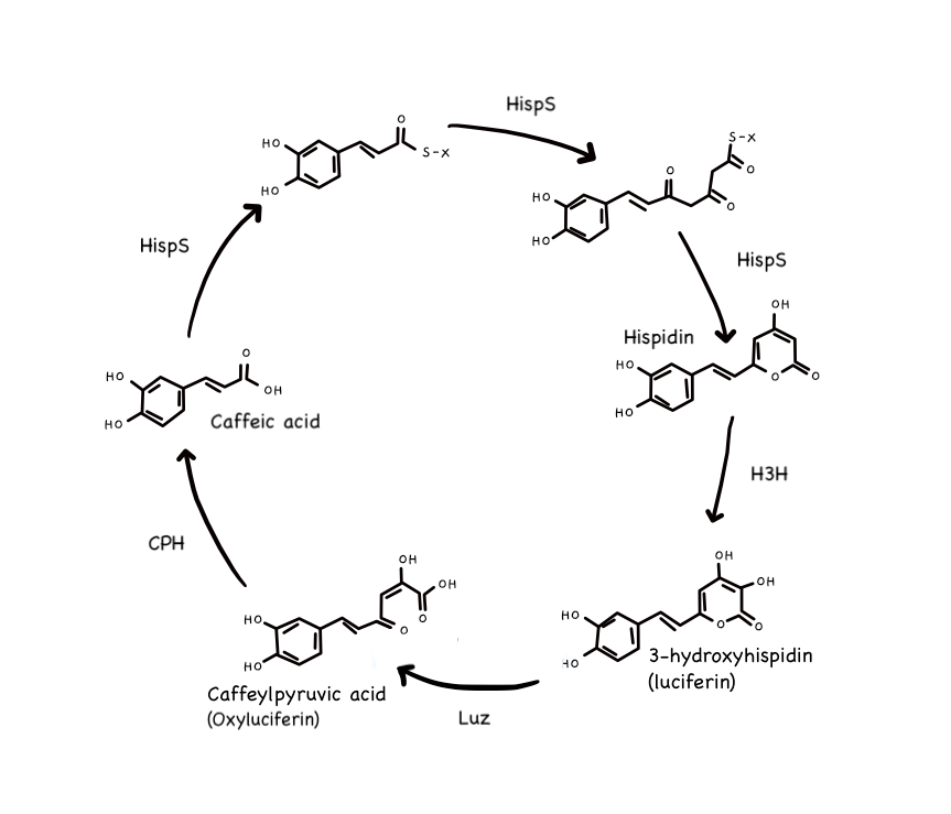
CAffeic acid cycle

First. caffeic acid is modified by hispidin synthase (HispS). an enzyme, to obtain a carbon ring and result in hispidin:

Hispidin is then hvdroxvlated/hydrated with water by another enzvme called H3H. thereby turning it into 3-hvdroxvhispidin. a.k.a. fungal luciferin:

Quickly there after, Luz (the luciterase enzyme) switches the location ot elctrons in tungal luciterin's added carbon ring by reacting it with an oxygen molecule, which creates a high energy (and very unstable) molecue that acts as an intermediate to the reaction.

'The intermediate molecule then spontaneously decomposes to cafteylpyruvic acid (otherwise known as oxyluciferin), producing carbon dioxide as a by-product and emitting the rest of its excess accumulated energy as green light;

Finally, oxyluciferin is cut and turned back into caffeic acid by a catabolising enzyme called caffeylpyruvate hydrolase (CPH) - thereby starting the cycle all over again.